
高中物理篇28:宇宙三大速度详解
(1)牛顿对人造卫星原理的描绘
设想在高山上有一门大炮,水平发射炮弹,初速度越大,水平射程就越大,可以想象当初速度足够大时,这颗炮弹将不会落到地面,将和月球一样成为地球的一颗卫星。
(2)人造卫星绕地球运行的动力学原因
人造卫星在绕地球运行时,只受到地球对它的万有引力作用,人造卫星作圆周运动的向心力由万有引力提供。
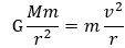
(3)人造卫星的运行速度
设地球质量为M,卫星质量为m,轨道半径为r,由于万有引力提供向心力,则
∴,可见:高轨道上运行的卫星,线速度小。
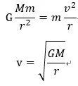
角速度和周期与轨道半径的关系呢?
可见:高轨道上运行的卫星,角速度小,周期长。
第一宇宙速度
问题:牛顿实验中,炮弹至少要以多大的速度发射,才能在地面附近绕地球做匀速圆周运动?地球半径为6370km。
分析:在地面附近绕地球运行,轨道半径即为地球半径。由万有引力提供向心力:
结论:
如果发射速度小于7.9km/s,炮弹将落到地面,而不能成为一颗卫星;
发射速度等于7.9km/s,它将在地面附近作匀速圆周运动;
要发射一颗半径大于地球半径的人造卫星,发射速度必须大于7.9km/s。可见,向高轨道发射卫星比向低轨道发射卫星要困难。
意义:第一宇宙速度是人造卫星在地面附近环绕地球作匀速圆周运动所必须具有的速度,所以也称为环绕速度。
第二宇宙速度
大小V2=11.2 km/s
意义:使卫星挣脱地球的束缚,成为绕太阳运行的人造行星的最小发射速度,也称为脱离速度。
注意:发射速度大于7.9km/s,而小于11.2km/s,卫星绕地球运动的轨迹为椭圆;
等于或大于11.2km/s时,卫星就会脱离地球的引力,不再绕地球运行。
第三宇宙速度
大小:V3=16.7km/s
意义:使卫星挣脱太阳引力束缚的最小发射速度,也称为逃逸速度。
注意:发射速度大于11.2km/s,而小于16.7km/s,卫星绕太阳作椭圆运动,成为一颗人造行星。
如果发射速度大于等于16.7km/s,卫星将挣脱太阳引力的束缚,飞到太阳系以外的空间。
发射速度
发射速度是指卫星在地面附近离开发射装置的初速度,一旦发射后再无能量补充,要发射一颗人造地球卫星,发射速度不能小于第一宇宙速度。
运行速度
运行速度指卫星在进入运行轨道后绕地球做圆周运动的线速度。当卫星“贴着”地面飞行时,运行速度等于第一宇宙速度,当卫星的轨道半径大于地球半径时,运行速度小于第一宇宙速度。
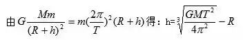
同步卫星
所谓同步卫星,是相对于地面静止的,和地球具有相同周期的卫星,T=24h,同步卫星必须位于赤道上方距地面高h处,并且h是一定的。同步卫星也叫通讯卫星。
(T为地球自转周期,M、R分别为地球的质量,半径)。
代入数值得h=3.6*107m
大小
意义
发射速度<7.9km/s
发射不成功,落回地面。
第一宇宙速度
7.9km/s
发射卫星的最小发射速度
卫星绕地球做圆周运动的最大的环绕速度
7.9km/s<发射速度< 11.2km/s,物体绕地球运转,轨迹是椭圆
第二宇宙速度
11.2km/s
卫星脱离地球的速度(仍受太阳引力限制),绕太阳运动
11.2 km/s<发射速度<16.7km/s,绕太阳运动
第三宇宙速度
16.7km/s
离开太阳的速度,飞到太阳系以外的太空
解释:
1.发射速度:发射速度是指卫星在地面附近离开发射装置的初速度
2.运行速度:运行速度指卫星在进入运行轨道后绕地球做圆周运动的线速度
地球的卫星(太阳系的行星)的轨道半径与线速度、角速度、周期、加速度的关系
基本思路
地球对卫星的万有引力提供向心力
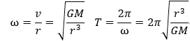
线速度:
轨道半径越大,线速度(运行速度)越小
注意:发射卫星的时候,发射到轨道半径越大的地方,需要的发射速度越大。
轨道半径越大,角速度、加速度越小,周期越大。
注意:地球卫星的线速度、角速度、周期、加速度与卫星的质量无关。
发射阶段
发射阶段处于向上加速的过程,处于超重状态。
返回过程
返回过程在地面附近处于向下减速的过程,处于超重状态。
在运行轨道上绕地球做匀速圆周运动的过程
地球对物体(宇航员)的引力(重力)提供了圆周运动的向心力,处于完全失重的状态。一切与重力有关的现象会消失,与利用重力有关的仪器不能使用。
1. (2018天津,6,6分)2018年2月2日,我国成功将电磁监测试验卫星“张衡一号”发射升空,标志我国成为世界上少数拥有在轨运行高精度地球物理场探测卫星的国家之一.通过观测可以得到卫星绕地球运动的周期,并已知地球的半径和地球表面处的重力加速度.若将卫星绕地球的运动看作是匀速圆周运动,且不考虑地球自转的影响,根据以上数据可以计算出卫星的( )
A 密度
B 向心力的大小
C 离地高度
D 线速度的大小
2. (2018江苏,1,3分)我国高分系列卫星的高分辨对地观察能力不断提高.今年5月9日发射的“高分五号”轨道高度约为705 km,之前已运行的“高分四号”轨道高度约为36 000 km,它们都绕地球做圆周运动.与“高分四号冶相比,下列物理量中“高分五号”较小的是( )
A. 周期
B. 角速度
C. 线速度
D. 向心加速度
1. CD
卫星做圆周运动的向心力由万有引力提供,则有GMm/(R+h)2=m(2π/T)2(R+h),无法计算得到卫星的质量,更无法确定其密度及向心力大小,A、B项错误;又GMm0/R2=m0g,联立两式可得,C项正确;由v=2π(R+h)/T,可计算出卫星的线速度的大小,D项正确.
2.A
设地球质量为M,人造卫星质量为m,人造卫星做匀速圆周运动时,根据万有引力提供向心力有,得,得
,
,
,
,因为“高分四号”的轨道半径比“高分五号”的轨道半径大,所以选项A正确。
复习回顾:
27:经典力学的局限性详解
26:物理高中所有公式定理大汇总
25:变压器、电能输送知识点
24:机械能守恒之功率解析
23:重力势能详解
更多物理往期内容可在对话框回复“物理”查看
年轻的我们
唯一要做的
就是向上生长